

课题组将招收博士、硕士和博士后,长期有效。
关于博士硕士招生有以下三点要求:1)应具有工程学科背景,并对信息技术有浓厚兴趣,即将或已取得相关的学士或硕士学位;2)应具有较强的技术背景,包括但不限于BIM/GIS、物联网、数字孪生、人工智能等方面的研究经验,优先考虑在算法、大型软件系统或Web/App 开发方面有研究或实践经验的申请者;3)应具有较高的自我激励能力,良好的英语书面和口语沟通能力,以及独立工作能力。
关于博士后招聘还应满足以下两点:1)年龄35岁以下,获得博士学位3年以内;2)研究方向为土木工程信息技术、海洋环境信息建模及应用、数据驱动知识发现及应用等相关方向。(注:博士后申请者经过初步筛选后需进行面试,并作半小时学术报告,包括博士期间的主要研究工作内容及未来博后工作设想。)
有意向者请将个人简历、成绩单及工作设想等材料发送至邮箱:hu.zhenzhong@sz.tsinghua.edu.cn。详情可查看课题组博士硕士招生、课题组博士后招聘。
2021年11月26日,Discharge of treated Fukushima nuclear accident contaminated water: macroscopic and microscopic simulations已发表在National Science Review上,这是对课题组同学和老师们厚德载物、严谨致学的充分肯定!NSR官微推送优质高效,体现了我国卓越领军期刊的超一流水平!感谢张建民院士的指导与支持,感谢编辑部和评阅人给予的高度评价!
这项研究成果对于污染物长期扩散的预测、核污染水排放计划的合理应对以及后续放射性物质浓度的监测具有显著意义。未来,我们将继续深化研究,进一步探讨判断排放核污染水这一行为对于整个海洋和人类长远的影响,为国家乃至全球应对核污染水危机提供重要的决策支撑!
注:National Science Review,2021年的影响因子为17.275,属于顶刊,卓越计划领军期刊。详情请见介绍视频。
论文Deep learning-based realtime multiload response prediction and inverse analysis of offshore bridges已发表在期刊Engineering Structures上。
该研究针对跨海桥梁处于复杂海洋环境、结构分析设计与监测难度大、传统有限元时程分析及非线性模型更新计算量高且耗时长的问题,提出一种基于深度学习的跨海桥梁响应预测器 DeepOBP。该模型将结构特性与海洋环境下的耦合动力荷载统一建模,可在毫秒级实现高精度的非线性动力响应预测。进一步构建可微结构反演框架 Inverse DeepOBP,将代理模型与基于梯度的优化相结合,用于结构健康监测中的快速损伤识别与模型校准。实验结果表明,DeepOBP 在正常工况与多灾耦合工况下均表现出较高精度,决定系数 R² 分别达到 0.93 和 0.92。Inverse DeepOBP 相比启发式算法的代理模型更新与非线性有限元模型更新,分别实现超过 10 倍与 10⁴ 倍的加速,同时各参数识别相对误差控制在 7% 以内,为高效结构分析与实时监测提供了可行工具。
注:Engineering Structures属于Q1区工程技术领域期刊,2025年影响因子为6.4。论文第一作者为硕士生孙竹妤,郭宇韬老师为通讯作者。研究成果得到国家重点研发计划项目和深圳市科技计划项目的资助。
ROM-PINN: A physics-informed neural network with reduced-order modelling for nonlinear structural response prediction论文已发表在期刊Structures上。
本研究针对非线性结构时程有限元分析计算代价高、纯数据驱动神经网络缺乏物理一致性的问题,提出降阶模型物理约束神经网络(ROM-PINN)。方法将非线性降阶动力平衡方程作为物理约束嵌入网络训练,并以“虚拟力”表征学习非线性效应;同时结合降阶投影与面向传感器的部署策略,使模型能够在有限观测条件下,对高维结构系统实现高效且物理一致的响应预测。以海上跨海桥梁为算例,ROM-PINN可实现多传感器响应的准确预测,并较纯数据驱动基线取得显著提升:均方误差(MSE)降低10.0%,物理一致性指标(PR)提升83.7%;在10%测量噪声下,MSE进一步降低23.3%。结果表明该框架适用于大尺度非线性结构的快速分析与在线监测等工程场景。
注:Structures属于Q1区工程技术领域期刊,2025年影响因子为4.3。论文第一作者为硕士生孙竹妤,郭宇韬老师为通讯作者。研究成果得到国家重点研发计划项目和深圳市科技计划项目的资助。
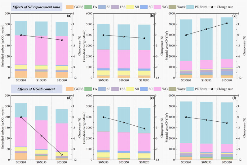
Multiscale investigation of ternary precursor proportioning in engineered geopolymer composites: Effects of silica fume replacement ratio and GGBS content论文已发表在期刊Construction and Building Materials上。
本研究系统探讨了通过调整硅灰替代率(5%~15%)与矿渣含量(20%~80%)来设计工程地质聚合物复合材料(EGC)的力学性能、微观结构及可持续性。结果表明,通过适宜的前驱体配比可实现较广的强度覆盖范围,抗压强度达48~117 MPa,满足不同结构应用需求。数字图像相关技术(DIC)与原位裂缝分析揭示了材料具有稳定的多缝开裂行为,其极限拉应变始终超过8%,裂缝宽度有效控制在120 μm内,实现了高延性。微观分析表明,较高矿渣含量促进了C-(N)-A-S-H凝胶生成与聚合反应,从而实现基体致密化与力学性能提升。适量硅灰替代亦发挥孔隙填充作用,进一步提高基体密实度。生命周期分析表明,该材料在保持加工可行性的同时,隐含碳排放较传统水泥基材料降低约50%。该研究证实了前驱体优化设计的EGC能够同时满足结构性能要求与可持续发展目标,展现出在低碳工程实践中的巨大应用潜力。
注:Construction and Building Materials为工程技术领域Top期刊,2025年影响因子为8.0。论文第一作者为博士生万飞宏,郭宇韬老师为通讯作者。研究成果得到深圳市科技计划项目和国家自然科学基金的资助。
清华大学林佳瑞个人网站 清华大学纪晓东个人网站 清华大学陆新征个人网站
累计PV [96184] | 累计UV [25941] | 累计IP [25697]
Copyright @ 2013- 胡振中的个人网站 All Rights Reserved | 粤ICP备 13043606号